With MobiWork's advanced platform, creating a new recurrent route is intuitive and easy. This section will highlight the different ways you can create a new recurrent route, in addition to showing how to popuplate the recurrent route with assigned stops for your user.
Once the stops are published they will automatically generate work orders for your company. With MobiWork's robust tools, you can tailor your recurrent routes to fit the unique demands of your business, ensuring smoother operations and heightened customer satisfaction.
Note: Please note that any edited or newly added stops must be published to become official. Once published, these stops will automatically trigger the specified work orders for your company. Every night at 10pm recurrent routes will be auto-published.
There are a couple of different ways that you can add a new recurrent route into MobiWork. The following subsections will illustrate some of the more common methods.
Please note when creating a new recurrent route, you will also need to populate it with stops and then publish the changes. The Add Stop subsection will contain additional information about how to add stops to your recurrent routes.
From the Recurrent Route Drop-Down
The fastest and easiest way to add a recurrent route is by accessing the drop-down menu from the Recurrent Route feature, located in your MobiWork menu:
Select the "Add Recurrent Route" option from the drop-down.
You will then be redirected to the Add Recurrent Route pop-up window.

From the Recurrent Routes' More Actions
On the Recurrent Routes feature page, you will also be able to add a new recurrent route or import your recurrent routes from Excel:

Plus Sign- Adds a new recurrent route.
More Actions- Allows you to access the import drop-down actions.
Another convenient way to add a new recurrent route is through the More Actions button. For more information on how to access this page, please see the Recurrent Routes List section.
To add a new recurrent route from the Recurrent Routes page, please see the steps below:
Once you are on the Recurrent Routes feature page, click on the Plus Sign to add a new recurrent route:
You will then be redirected to the Add Recurrent Route pop-up window.

Once the recurrent route is created, you will need to populate it with stops. The Add Stop subsection will contain additional information about how to add stops to your recurrent routes.
To add a recurrent route requires several steps. First you need to create a recurrent route, then you will need to populate that route with the desired stops. Once this is complete, the recurrent route will need to be published so that it is ready for use.
The following subsections will highlight how to create a recurrent route and add stops to it.
Add Recurrent Route Page
Regardless of the manner that you choose to add the recurrent route, the Add Recurrent Route pop-up window will appear. From this pop-up window, enter the required information for the recurrent route:

The name of the recurrent route.
How often the recurrent route should be completed.
The start date that the recurrent route should begin.
The user assigned to the recurrent route.
Once you are satisfied with the information entered, click the Add button.
Adding a recurrent route from the Add Recurrent Route pop-up window is the first step of creating a recurrent route for your users. You will also need to add the stops that are found along the route and then publish the changes so that the recurrent route is finalized.
The following subsections will illustrate how to add stops to your recurrent route and how to publish your recurrent route.
Add Stop
Once you create a recurrent route, you can add stops to it. To add stops to a recurrent route, you should first be on the View Recurrent Route pop-up window. For more information on how to access this pop-up window, please see the View Recurrent Route page.
On the View Recurrent Route pop-up window, click on the More Actions button and from the drop-down, select the "Add Stop" option:

The Add Stop pop-up window will then appear:

Input the required information in this pop-up window:
The customer.
The location.
The work order type.
The description.
How long the planned work order should take.
And the time type.
Repeat these steps as desired, until you have added all the required stops for the recurrent route. Please note that once you add a new stop, the recurrent route will need to be published to make the changes official.
Publish Routes
Once you add any stops or updates to a recurrent route, the changes are not official until you publish the recurrent route. There are two different ways to publish a recurrent route:

Select the "Publish" option from the More Actions drop-down.
Or click the Publish button from the red notification ribbon.
Once you publish a recurrent route, it becomes ready to use within MobiWork for your users and for your customers. To assign your recurrent route to a customer, please see the View Customer page.
Another way to add a recurrent route, is by cloning an already existing recurrent route. Cloning recurrent routes is especially helpful if you have another user working the route on a different day or if you have a similar recurrent route with minor changes.

To clone a recurrent route, you will first need to open the View Recurrent Route pop-up window; from the More Actions drop-down, select the "Clone Route" option to create a duplicate recurrent route.
The confirmation pop-up window will then appear. Click the Yes button to confirm that you would like to clone the recurrent route:

Once you confirm that you would like to clone the original recurrent route, you will be redirected to the cloned copy of the recurrent route. You will notice that the name of the cloned recurrent route will say "Copy:"

To save this cloned recurrent route and make it ready for use, click the Publish button.
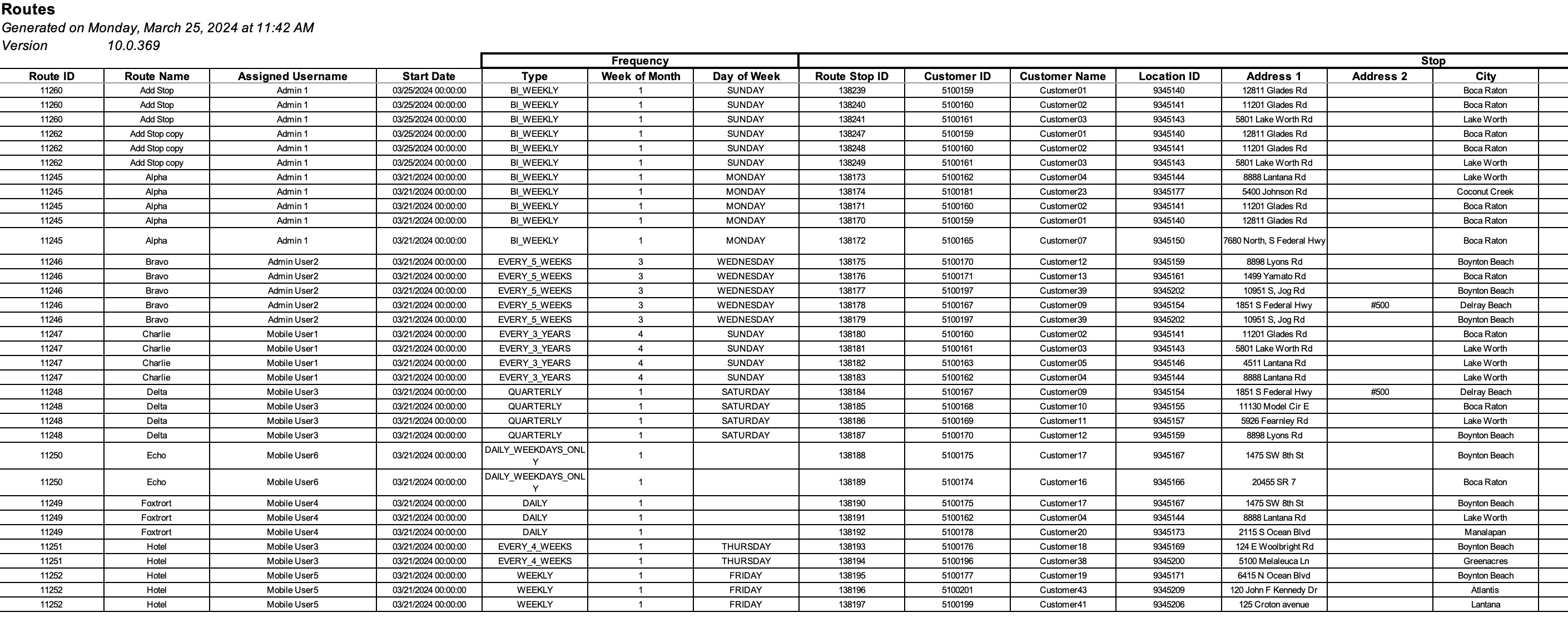
You can import recurrent routes from your Excel document. Please note that in order to import the recurrent routes correctly, the Excel document must be formatted in the correct manner (please see the image below for the correct headings and order):

Once you have entered the recurrent routes in the Excel document correctly, you can upload that document to MobiWork.
Select the More Actions button and from the drop-down click on the "Import From Excel" option:
Upload your Excel file to the drag & drop feature and then click on the Import button:
You will then be redirected to the Confirm Import page. Confirm your imported Excel file by hitting the Submit button:
Once you are redirected to the Import Routes Results page, click the Done button:
The newly uploaded recurrent routes from Excel will then be displayed in MobiWork with your other routes.




Note: Please note that in the Excel document, a double asterisk (**) indicates a conditional field, while a single asterisk (*) denotes a required field.