- Overview
- Account Settings
- Assets
- Connectors Framework
- Overview
- QuickBooks Online
- QuickBooks Desktop Web Connector
- Azure AD
- Salesforce Integration
- FleetNet Connector
- Avalara Connector
- Inbound REST API
- Outbound REST API
- Mailchimp Connector
- Text Messaging Connector
- Clearent Connector
- Stripe Connector
- HubSpot Connector
- UKG Connector
- Paylocity Connector
- UKG Connector
- Gusto Connector
- iSolved Payroll Connector
- Customer Portal
- Customers
- Dashboards
- Devices
- Dispatching
- Forms
- Inventory
- Invoices & Billing
- Locations
- Payments
- Parts
- Projects
- Quotes
- Recurrent Routes
- Recurrent Services
- Reports
- Sales Orders
- Schedule
- Services
- Tasks
- Text Messaging
- Time Tracking
- Users
- Work Orders
Maximize efficiency by seamlessly importing and exporting your recurrent services directly to and from Excel within MobiWork. Whether you are adding a large batch of new recurrent services or making updates to existing ones, our powerful import feature streamlines the process, saving you valuable time and effort.
This section will guide you through accessing and utilizing these tools to keep your operations organized and efficient.
You will be able to access the Recurrent Services' import and export features from the Recurrent Service feature page. For more information on how to access this page, please see the Recurrent Services List page.
Once you are on the Recurrent Service feature page, click on the More Actions button, and from the drop-down select your desired option:
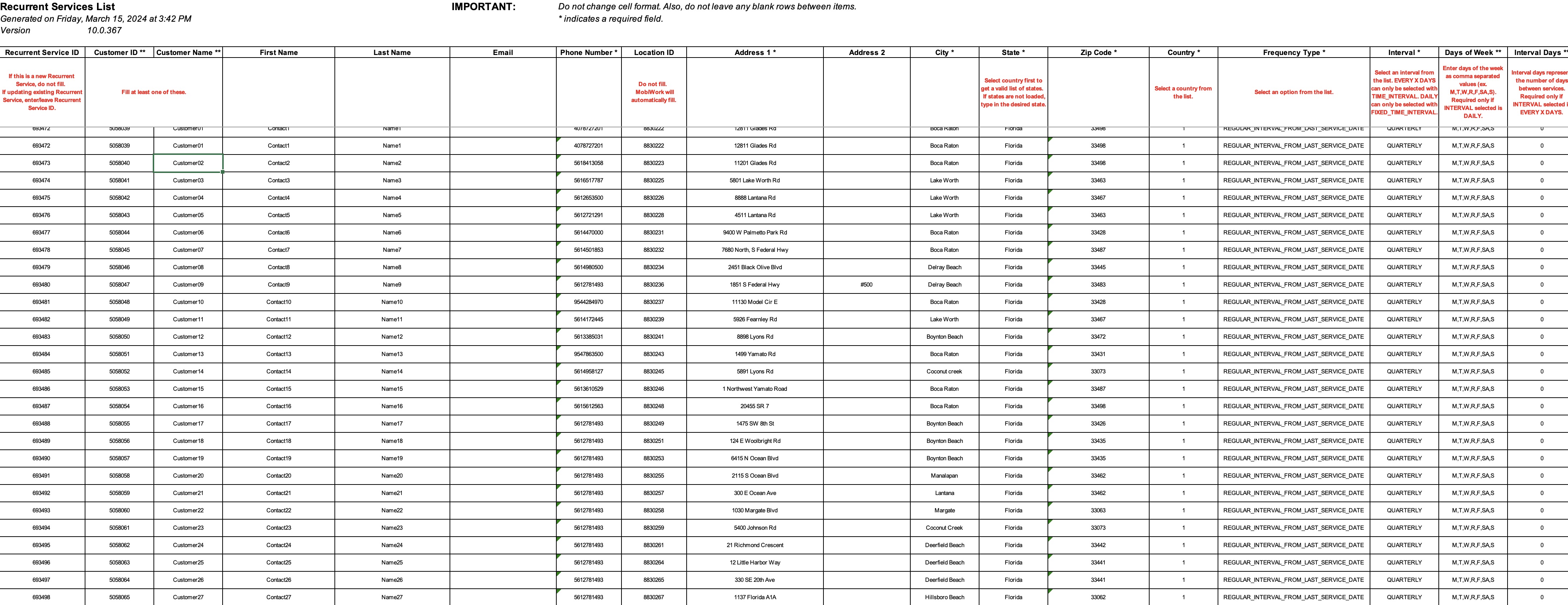
You can import recurrent services from your Excel document. Please note that to import the recurrent services correctly, the Excel document must be formatted in the correct manner (please see the image below for the correct headings and order):
You can use this method to efficiently upload multiple recurrent services at once or make bulk changes to existing recurrent services.
Once you have entered the recurrent services in the Excel document correctly, you can upload that document to MobiWork.
First, access the Recurrent Service feature page. Please see the Recurrent Service List section for more information on how to access this page.
When you are on the Recurrent Service feature page, select the More Actions button and from the drop-down click on the "Import From Excel" option:
Upload your Excel file to the drag & drop feature and then click on the Import button:
You will then be redirected to the Confirm Import page. Confirm your imported Excel file by hitting the Submit button:
Once you are redirected to the Import Recurrent Services Results page, click the Done button:
The newly uploaded recurrent services from Excel will then be displayed in MobiWork with your other recurrent services.
Note: Please note that in the Excel document, a double asterisk (**) indicates a conditional field, while a single asterisk (*) denotes a required field.
To export this file from the Recurrent Service feature page:
Select the recurrent services that you would like to export to Excel:
- Please note that if you would like to export all your recurrent services into Excel you can click on the topmost checkbox (Multiple Selection Area) located in the Recurrent Service column. Likewise, if you do not select any entries ALL records will be exported:
Click on the More Actions button and from the drop-down menu select the "Export to Excel" option.
The Excel file will automatically download, and you will be able to locate it in your computer's Download folder:
Note: Please note that in the Excel document, a double asterisk (**) indicates a conditional field, while a single asterisk (*) denotes a required field.
If you have any questions or need further assistance, please let us know. We'd be happy to help!
