- Overview
- Account Settings
- Assets
- Connectors Framework
- Overview
- QuickBooks Online
- QuickBooks Desktop Web Connector
- Azure AD
- Salesforce Integration
- FleetNet Connector
- Avalara Connector
- Inbound REST API
- Outbound REST API
- Mailchimp Connector
- Text Messaging Connector
- Clearent Connector
- Stripe Connector
- HubSpot Connector
- UKG Connector
- Paylocity Connector
- UKG Connector
- Gusto Connector
- iSolved Payroll Connector
- Customer Portal
- Customers
- Dashboards
- Devices
- Dispatching
- Forms
- Inventory
- Invoices & Billing
- Locations
- Payments
- Parts
- Projects
- Quotes
- Recurrent Routes
- Recurrent Services
- Reports
- Sales Orders
- Schedule
- Services
- Tasks
- Text Messaging
- Time Tracking
- Users
- Work Orders
You can export your customer data into various Excel reports; these Excel documents will display different types of information regarding your customers.
This section will highlight how to export your customers into an Excel file.
To export your customers into Excel or QuickBooks, you must first access the Customers feature page on MobiWork. For more information on how to access this page, please see the Customer List page:
Once you are in the Customers feature page, click on the More Actions button to access the export to Excel actions. There are several different types of Excel export options that you can choose from, and each one will display a different data set.
The subsequent sections will go more into detail about applications of each Excel export file.
To export your customers into an Excel document, you will first need to access the Customers Section. Once you click on the More Actions button there are six different export to Excel options for you to choose from:
Export to Excel (Drop-down)
To export this file from the Customers feature page:
Select the customers that you would like to export to Excel:
- Please note that if you would like to export all your customers into Excel you can click on the topmost checkbox (Multiple Selection Area) located in the Customers feature page. Likewise, if you do not select any customers ALL records will be exported:
Click on the More Actions button and from the drop-down menu select the "Export to Excel" option:
The Excel file will automatically download, and you will be able to locate it in your computer's Download folder.

The "Export to Excel" option will export your customers and prospects to an Excel file. This Excel file will have all the basic information regarding your customers and prospects, including their names, statuses, countries, etc.:

Export to Excel for Invoice Creation
To export this file from the Customers feature page:
Select the customers that you would like to export to Excel:
- Please note that if you would like to export all your customers into Excel you can click on the topmost checkbox (Multiple Selection Area) located in the Customers feature page. Likewise, if you do not select any customers ALL records will be exported:
- Click on the More Actions button and from the drop-down menu select the "Export to Excel for Invoice Creation" option:
- The Excel file will automatically download, and you will be able to locate it in your computer's Download folder.


By selecting the "Export to Excel for Invoice Creation" option, your Excel document will be formatted to allow manual input of invoices, which can then be uploaded into MobiWork:

For more information on how to upload invoices from an Excel file, please see the Import Invoices page.
Export Contacts to Excel
To export this file from the Customers feature page:
Select the customers that you would like to export to Excel:
- Please note that if you would like to export all your customers into Excel you can click on the topmost checkbox (Multiple Selection Area) located in the Customers feature page. Likewise, if you do not select any customers ALL records will be exported:
Click on the More Actions button and from the drop-down menu select the "Export Contacts to Excel" option:
The Excel file will automatically download, and you will be able to locate it in your computer's Download folder.


By selecting the "Export Contacts to Excel" option, you will only be exporting your contact, customer, and prospect information:

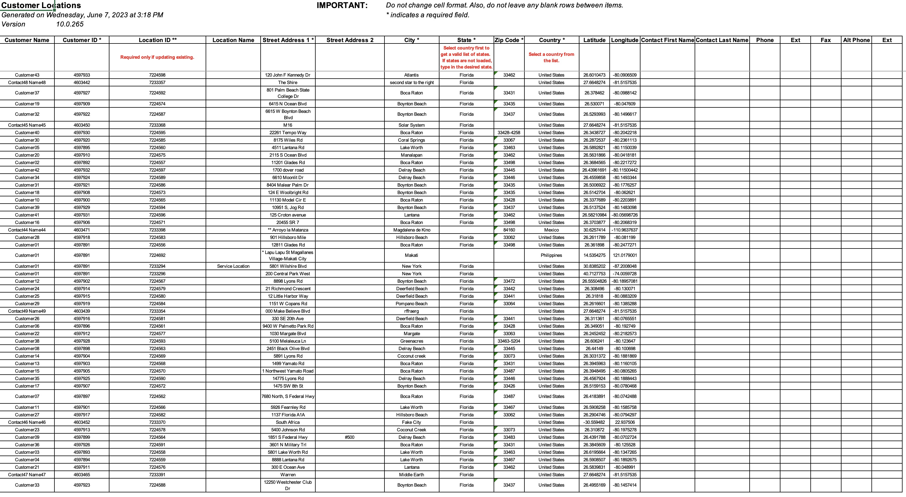
Export Locations to Excel
To export this file from the Customers feature page:
Select the customers that you would like to export to Excel:
- Please note that if you would like to export all your customers into Excel you can click on the topmost checkbox (Multiple Selection Area) located in the Customers feature page. Likewise, if you do not select any customers ALL records will be exported:
- Click on the More Actions button and from the drop-down menu select the "Export Locations to Excel" option:
- The Excel file will automatically download, and you will be able to locate it in your computer's Download folder.


By selecting the "Export Locations to Excel" option, you will only be exporting the locations, addresses, location names, etc. of your customer and prospect contacts:

To export your customers into QuickBooks, you will need to click on the More Actions button and from the drop-down menu select the "Export Customers into QuickBooks" option:
If you have any questions or need further assistance, please let us know. We'd be happy to help!
