- Overview
- Account Settings
- Assets
- Connectors Framework
- Overview
- QuickBooks Online
- QuickBooks Desktop Web Connector
- Azure AD
- Salesforce Integration
- FleetNet Connector
- Avalara Connector
- Inbound REST API
- Outbound REST API
- Mailchimp Connector
- Text Messaging Connector
- Clearent Connector
- Stripe Connector
- HubSpot Connector
- UKG Connector
- Paylocity Connector
- UKG Connector
- Gusto Connector
- iSolved Payroll Connector
- Customer Portal
- Customers
- Dashboards
- Devices
- Dispatching
- Forms
- Inventory
- Invoices & Billing
- Locations
- Payments
- Parts
- Projects
- Quotes
- Recurrent Routes
- Recurrent Services
- Reports
- Sales Orders
- Schedule
- Services
- Tasks
- Text Messaging
- Time Tracking
- Users
- Work Orders
Within MobiWork, you will be able to import and export your recurrent routes' data to and from an Excel document; this section will highlight how to access the import/export feature.
You will be able to access the Recurrent Route's import and export features from the "List" tab. For more information on how to access this page, please see the Recurrent Routes List page.
Once you are on the "List" tab, click on the More Actions button, and from the drop-down select your desired option:

Import From Excel
Export to Excel
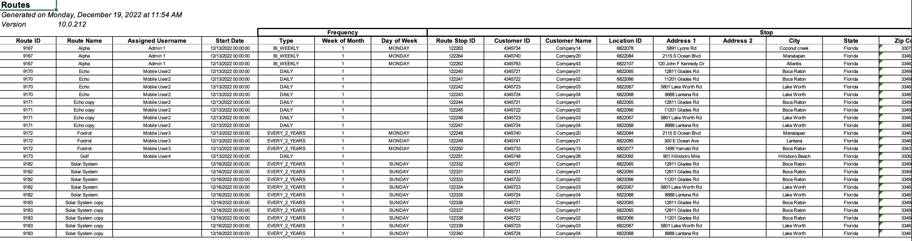
You can import recurrent routes from your Excel document. Please note that in order to import the recurrent routes correctly, the Excel document must be formatted in the correct manner (please see the image below for the correct headings and order):

Once you have entered the recurrent routes in the Excel document correctly, you can upload that document to MobiWork.
Select the More Actions button and from the drop-down click on the "Import From Excel" option:
Upload your Excel file to the drag & drop feature and then click on the Import button:
You will then be redirected to the Confirm Import page. Confirm your imported Excel file by hitting the Submit button:
Once you are redirected to the Import Routes Results page, click the Done button:
The newly uploaded recurrent routes from Excel will then be displayed in MobiWork with your other routes.




To export your recurrent routes into an Excel document, you will first need to access the "List" tab. Once you click on the More Actions button, select the "Export to Excel" option from the drop-down:
- Select the routes that you would like to export to Excel:
Please note that if you would like to export all your routes into Excel you can click on the topmost checkbox (Multiple Selection Area). Likewise, if you do not select any entries ALL records will be exported:
Click on the More Actions button and from the drop-down menu select the "Export to Excel" option:
The Excel file will automatically download, and you will be able to locate it in your computer's Download folder:



The Excel download will display the route ID, route's name, the assigned user, start date, etc.
If you have any questions or need further assistance, please let us know. We'd be happy to help!
